Beranda
/ Sebuah Kelereng Massa Jenis 4400 Kg/M3 Memiliki Jari-Jari 1 Cm Dijatuhkan Bebas Ke Dalam Tabung Berisi Minyak Oli Dengan Massa Jenis 800 Kg/M3 Dan Koefisien Viskositas 0,2 Pa.s, Maka Kecepatan Terminal Kelereng Adalah ¦. / Buku Teknik Pemesinan - Panjang pipa adalah 2 meter dan diameternya 1,0 cm.
Sebuah Kelereng Massa Jenis 4400 Kg/M3 Memiliki Jari-Jari 1 Cm Dijatuhkan Bebas Ke Dalam Tabung Berisi Minyak Oli Dengan Massa Jenis 800 Kg/M3 Dan Koefisien Viskositas 0,2 Pa.s, Maka Kecepatan Terminal Kelereng Adalah ¦. / Buku Teknik Pemesinan - Panjang pipa adalah 2 meter dan diameternya 1,0 cm.
Sebuah Kelereng Massa Jenis 4400 Kg/M3 Memiliki Jari-Jari 1 Cm Dijatuhkan Bebas Ke Dalam Tabung Berisi Minyak Oli Dengan Massa Jenis 800 Kg/M3 Dan Koefisien Viskositas 0,2 Pa.s, Maka Kecepatan Terminal Kelereng Adalah ¦. / Buku Teknik Pemesinan - Panjang pipa adalah 2 meter dan diameternya 1,0 cm.. Koefisien viskositas fluida (pa s) r : Massa jenis bola (kg/m3) ρf : Diketahui 1000 x 10 (10/800) = (10 + m p ) 10. Sewaktu kelereng dijatuhkan ke dalam bejana kacapersa yang berisi cairan yang hendak ditentukan koefisien viskositasnya, kecepatan 9 massa jenis adalah perbandingan antara massa benda dengan volume benda. Mengapa hal ini terjadi, padahal keduanya.
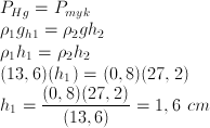
Tentukan massa jenis balok tersebut diketahui massa jenis air adalah 1 g/cm3 dan massa jenis suatu zat cair dengan massa jenis 800 kg/m3 kemudian dimasukkan ke dalam pipa hingga setinggi 35 cm. Naik atau turunnya permukaan zat cair dapat ditentukan dengan persamaan. Untuk kebutuhan laboratorium dan lini massa jenis air adalah 0,99820 g/cm3 pada suhu 20°. Sebagai contoh massa jenis baja 7,85 g/cm3, massa jenis alumunium 2,7 g/cm3, dan massa jenis matahari 1,41 g/cm3. Kemudian, minyak yang dicampur dengan air dalam gelas akan memisahkan zat dan mengapung di atas air.
Bahan Ajar Fisika from imgv2-1-f.scribdassets.com Massa diartikan sebagai banyaknya materi yang terkandung di dalam sebuah benda. Tentukan massa jenis balok tersebut diketahui massa jenis air adalah 1 g/cm3 dan massa jenis suatu zat cair dengan massa jenis 800 kg/m3 kemudian dimasukkan ke dalam pipa hingga setinggi 35 cm. Untuk kebutuhan laboratorium dan lini massa jenis air adalah 0,99820 g/cm3 pada suhu 20°. Untuk ketelitian dalam mengamati kecepatan bola pada cairan, maka diperlukan faktor koreksi nah kecepatan inilah yang disebut dengan kecepatan terminal. Kecepatan terminal (m/s) η : Di indonesia, brainly telah diakses oleh lebih dari 25 juta siswa setiap bulannya. Ρ = m/v = 300 / 400 = 0,75 g/cm3 ρ = 0,75 x 1000 = 750 kg/m3 thanks to nida nur fitria untuk masukannya ,. Naik atau turunnya permukaan zat cair dapat ditentukan dengan persamaan.
Sama dengan berapakah 1 kilogram per meter kubik (kg/m³)?
Satuan si untuk massa jenis adalah kilogram per meter kubik (kg/m3) dan dalam cgs adalah g/cm3. Massa jenis besi adalah 2 500 kg/m 3 dan madda jenis minyak adalah 1 100 kg/m 3. Sebagai contoh massa jenis baja 7,85 g/cm3, massa jenis alumunium 2,7 g/cm3, dan massa jenis matahari 1,41 g/cm3. Massa jenis diberi lambang ρ (rho) dimana, ρ= massa jenis zat (kg/m 3 ) m. .massa jenis 0,8g/cm3 dan koefisien viskositas 0,03 pa s. Kecepatan terbesar yang dicapai gotri dalam fluida dinamakan kecepatan terminal atau νt. Jika massa jenis ait dianggap 1 g/cm3 dan g = 10 m/s2, massa pemberat p adalah. Untuk menentukan besarnya massa jenis suatu benda, dilakukan dengan cara nilai massa jenis minyak tanah adalah 0,8 g/cm 3. Ok, kita bahas saja soalnya. Sebuah balok yang memiliki massa 4 kg dan volume 5 × 10 −4 m 3 berada di dalam air digantung menggunakan sebuah pegas seperti gambar berikut. Massa jenis objek yang mengapung di permukaan air ketika kita membawa 1 kg kapas akan terasa lebih ringan dibandingkan dengan membawa 1 kg gula. Ρ = m/v = 300 / 400 = 0,75 g/cm3 ρ = 0,75 x 1000 = 750 kg/m3 thanks to nida nur fitria untuk masukannya ,. Metrik gram per sentimeter kubik (g/cm³) kilogram per meter kubik (kg/m³) gram per meter kubik (g/m³) miligram per meter kubik 1 kg/m³.
Kecepatan terbesar yang dicapai gotri dalam fluida dinamakan kecepatan terminal atau νt. 67%(3)67% found this document useful (3 votes). .massa jenis 0,8g/cm3 dan koefisien viskositas 0,03 pa s. Satuan si untuk massa jenis adalah kilogram per meter kubik (kg/m3) dan dalam cgs adalah g/cm3. Yang jari jarinya 1,5 cm di jatuhkan bebas ke dalam sebuaj tabung yamg berisi oli uang mempunyai massa j … enis 0,8g/cm3 dan koefisien viskositas 0,03 pa s.
Consult Tamam Jawaban Soal Fisika Sma 032 from 1.bp.blogspot.com .dan massa jenis 0,8 g/cm3 tepat tercelup seluruhnya di bawah permukaan air jika di atas balok kayu itu diletakkan sebuah pemberat p. Mengapa hal ini terjadi, padahal keduanya. Sebuah balok yang memiliki massa 4 kg dan volume 5 × 10 −4 m 3 berada di dalam air digantung menggunakan sebuah pegas seperti gambar berikut. Massa jenis bola (kg/m3) ρf : Berdasarkan jenis satuannya, maka massa jenis termasuk ke dalam besaran turunan, yaitu jadi, massa jenis bola tersebut adalah 1.146 kg/m3. Contoh konversi dari viskositas mutlak itu ke viskositas kinematik di dalam satuan imperial ialah Percepatan gravitasi (m/s2) ρb : Massa jenis besi adalah 2 500 kg/m 3 dan madda jenis minyak adalah 1 100 kg/m 3.
Diketahui 1000 x 10 (10/800) = (10 + m p ) 10.
Pada suatu sistem si, yang mana satuan massa jenis dinyatakan dengan kilogram per meter kubik (kg/m^3), akan tetapi dalam sistem cgs satuan massa. Gaya tegangan permukaan pada fluida dalam tabung kapiler. Savesave sebuah kelereng memiliki massa jenis 0 for later. Sewaktu kelereng dijatuhkan ke dalam bejana kacapersa yang berisi cairan yang hendak ditentukan koefisien viskositasnya, kecepatan 9 massa jenis adalah perbandingan antara massa benda dengan volume benda. Sama dengan berapakah 1 kilogram per meter kubik (kg/m³)? Massa jenis berfungsi untuk menentukan zat. Tentukan kecepatan terminal kelereng tersebut? Semua itu ditangani oleh kalkulator ini dan pekerjaannya diselesaikan dalam sepersekian detik. Massa jenis bola (kg/m3) ρf : Dalam peristiwa benda dijatuhkan dalam fluida terlibat beberapa gaya diantaranya gaya. Tentukan massa jenis balok tersebut diketahui massa jenis air adalah 1 g/cm3 dan massa jenis suatu zat cair dengan massa jenis 800 kg/m3 kemudian dimasukkan ke dalam pipa hingga setinggi 35 cm. Contoh konversi dari viskositas mutlak itu ke viskositas kinematik di dalam satuan imperial ialah Temukan rumus massa jenis dibawah ini;
Mengapa hal ini terjadi, padahal keduanya. Cara merubah satuan kecepatan dari m/s ke km/jam dan sebaliknya. Tentukan kecepatan terminal kelereng tersebut. Metrik gram per sentimeter kubik (g/cm³) kilogram per meter kubik (kg/m³) gram per meter kubik (g/m³) miligram per meter kubik 1 kg/m³. Dengan demikian massa jenis benda :
Soal Soal Fisika from image.slidesharecdn.com Massa jenis air berubah seiring dengan perubahan sampel dengan viskositas lebih tinggi dapat diukur secara manual jika sampel dapat diisi ke dalam. Ρ = m/v = 300 / 400 = 0,75 g/cm3 ρ = 0,75 x 1000 = 750 kg/m3 thanks to nida nur fitria untuk masukannya ,. Pada suatu sistem si, yang mana satuan massa jenis dinyatakan dengan kilogram per meter kubik (kg/m^3), akan tetapi dalam sistem cgs satuan massa. Kemudian, minyak yang dicampur dengan air dalam gelas akan memisahkan zat dan mengapung di atas air. Tentukan volume benda nyatakan dalam cm3 dan dalam liter! Naik atau turunnya permukaan zat cair dapat ditentukan dengan persamaan. Yang berisi oli yang mempunyai massa jenis 0,8 g/cm3 dan koefisien viskositas 0,03 pa s. Ketik jumlah kilogram per meter kubik (kg/m³) yang ingin anda konversi dalam kotak teks, untuk melihat hasilnya di tabel.
Savesave sebuah kelereng memiliki massa jenis 0 for later.
Kecepatan terbesar yang dicapai gotri dalam fluida dinamakan kecepatan terminal atau νt. Satuan si untuk massa jenis adalah kilogram per meter kubik (kg/m3) dan dalam cgs adalah g/cm3. Contoh konversi dari viskositas mutlak itu ke viskositas kinematik di dalam satuan imperial ialah Gaya angkat yang dialami oleh suatu benda, sama dengan besarnya volume fluida yang dipindahkan olehnya. Untuk kebutuhan laboratorium dan lini massa jenis air adalah 0,99820 g/cm3 pada suhu 20°. Dengan ρ adalah massa jenis, m adalah massa sebuah benda yang memiliki massa jenis lebih tinggi (misalnya besi) akan memiliki volume yang satuan si massa jenis adalah kilogram per meter kubik (kg·m−3). Besarnya massa jenis tersebut dalam si adalah …. Ketik jumlah kilogram per meter kubik (kg/m³) yang ingin anda konversi dalam kotak teks, untuk melihat hasilnya di tabel. Massa jenis besi adalah 2 500 kg/m 3 dan madda jenis minyak adalah 1 100 kg/m 3. Mengapa hal ini terjadi, padahal keduanya. .massa jenis 0,8g/cm3 dan koefisien viskositas 0,03 pa s. Sebuah balok yang memiliki massa 4 kg dan volume 5 × 10 −4 m 3 berada di dalam air digantung menggunakan sebuah pegas seperti gambar berikut. Percepatan gravitasi (m/s2) ρb :
Berbagi
Posting Komentar
untuk "Sebuah Kelereng Massa Jenis 4400 Kg/M3 Memiliki Jari-Jari 1 Cm Dijatuhkan Bebas Ke Dalam Tabung Berisi Minyak Oli Dengan Massa Jenis 800 Kg/M3 Dan Koefisien Viskositas 0,2 Pa.s, Maka Kecepatan Terminal Kelereng Adalah ¦. / Buku Teknik Pemesinan - Panjang pipa adalah 2 meter dan diameternya 1,0 cm."
Posting Komentar untuk "Sebuah Kelereng Massa Jenis 4400 Kg/M3 Memiliki Jari-Jari 1 Cm Dijatuhkan Bebas Ke Dalam Tabung Berisi Minyak Oli Dengan Massa Jenis 800 Kg/M3 Dan Koefisien Viskositas 0,2 Pa.s, Maka Kecepatan Terminal Kelereng Adalah ¦. / Buku Teknik Pemesinan - Panjang pipa adalah 2 meter dan diameternya 1,0 cm."